On the Issues!
These are the Answers to the Issues that WE Must Solve for All Americans!
"We the People" demand the leader of the people, be
selected by the people, is for the people, and will protect the
people of the United States of America!
So help us God!
Vote WHEELOCK 2020: The BEST Choice!

"CAN DO a Better Job!" for All Americans!
"Will Serve and Protect!" the purpose of Government!
"Will Bring Back Fiscal Responsibility!" to Government!
"Will Deliver Universal Health Care!" for All Americans!
"CAN Power Up Energy!" for National Security!
"Will Launch US into Space the Final Frontier!" not just the Government!  
"Will Ensure that Work is a Right!" of All Americans!  
"Will run a NO Funding Raising Campaign!" keep your Money!
"Will start Education of the Future, NOW!" for All  Americans!
"Will Communicate with the World!" and Listen!
"Will Open Up Doors for Those Coming to America!" through the Front Door!
"You CAN DO and America WILL DO for You!"
Abortion Reform - ProLife while Respecting a Woman's Right to Choose!
Correctional System Reform - Rehabilitate not Just Incarcerate!
Campaign Reform - Fair to ALL Candidates!
Economic Reform - Government and Public!
Educational Reform - Minimum: National Educational Standards Testing...Now!
Foreign Policy Reform - We will Not Bully, and Will Lead by Example!
Governmental Reform - Simply Government Will SERVE and PROTECT!
Health Care Reform - Available and Affordable for All!
Immigration Reform - Identify, Determine, and Do!
Job Creation - Create the Environment for People to Create JOBS!
Judicial System Reform - Justice for ALL!, not just the Privileged!
Military Reform - Lean, Mean, Fighting Machine, within Our Budget!
Tax Reform - A Fair System in which We Pay for WHAT You USE!
Voting Reform -  ONE PERSON ONE VOTE!

More to be Added SOON!

Meanwhile Checkout the answers I have given on questionaires!
Vote! Wheelock! 2020 - For a BETTER America and World!
Vote! Wheelock! 2020 - For a BETTER America and World!
The Issues!
These are the Issues that America Demands to be Addressed!
More Details to Follow SOON!
Project Vote Smart Challenge!
Project VoteSmart Page 1
Project VoteSmart Page 2
Project VoteSmart Page 3
Project VoteSmart Page 4
Project VoteSmart Page 5
Project VoteSmart Page 6
Planned Parenthood Page 1
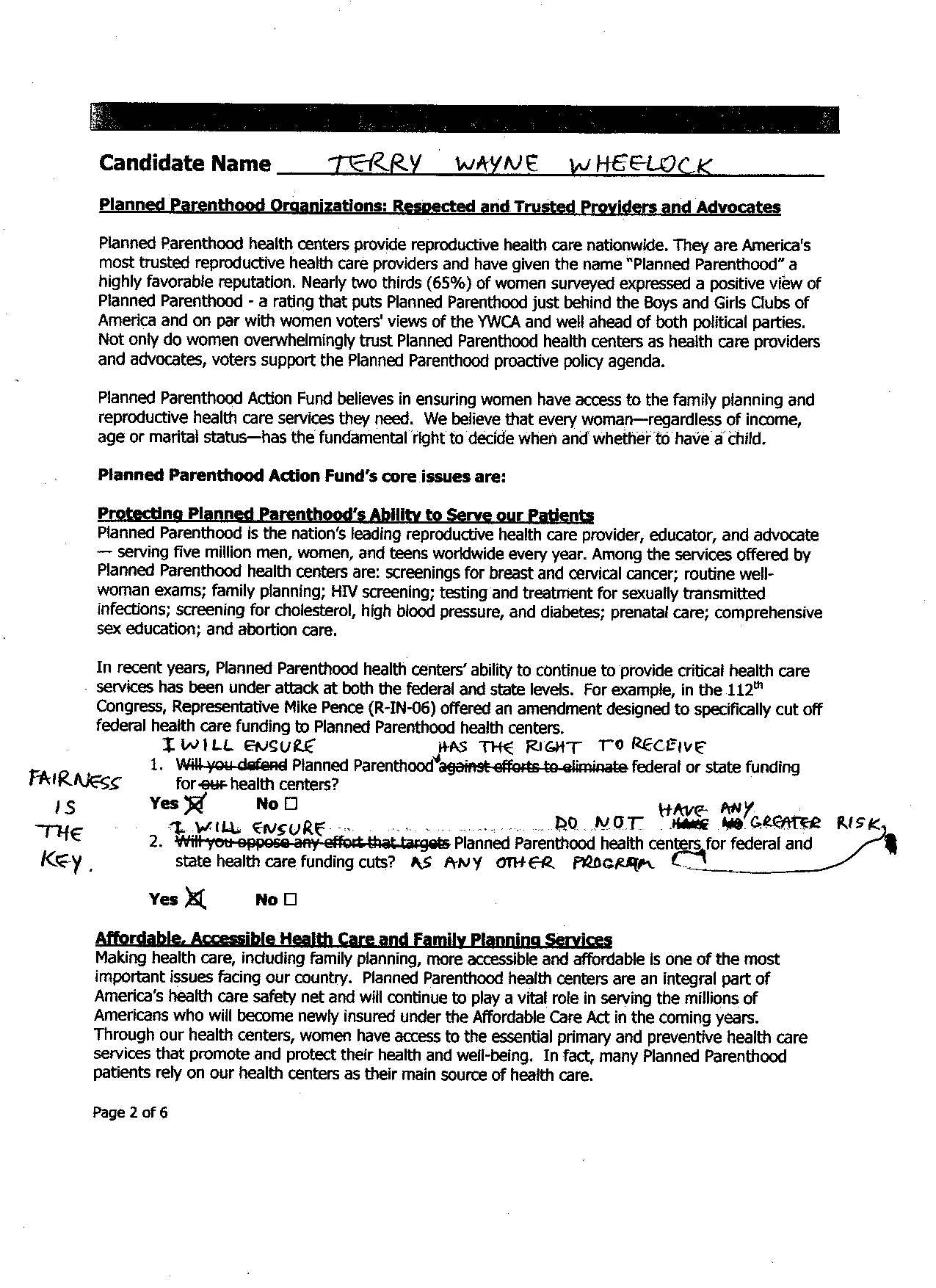
Planned Parenthood Page 2
Planned Parenthood Page 3
Planned Parenthood Page 4
Planned Parenthood Page 5
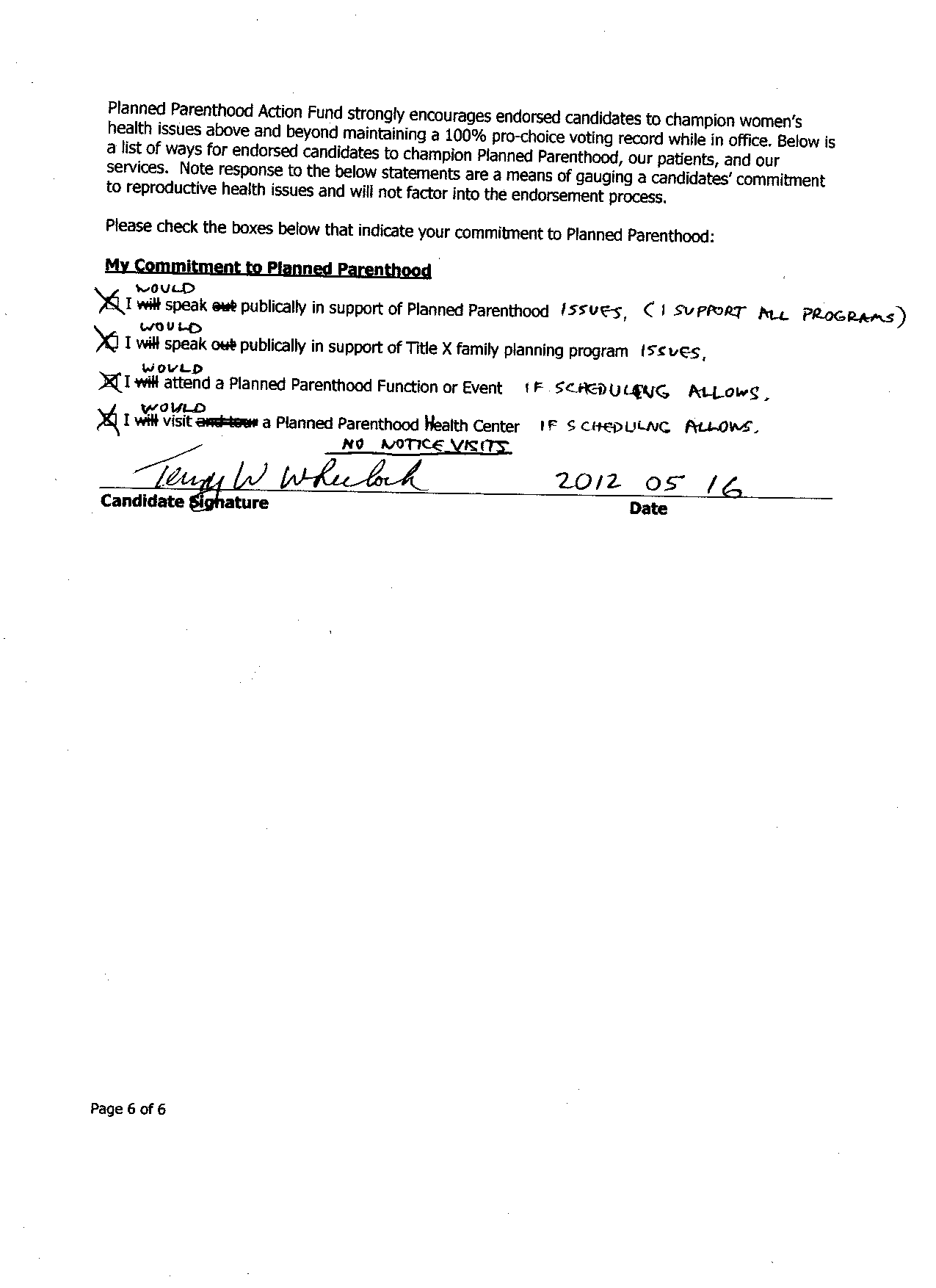
Planned Parenthood Page 6
Planned Parenthood Page 7
Planned Parenthood Questionaire!
Copyright © 1976 - 2020 Vote WHEELOCK 2020 All Rights Reserved
___________________________________________________________________________________